伟德国际1946
学生
教职工
校友
家长
访客
English
|
虚拟校园
|
网站地图
|
举报信箱
首 页
学院概况
学院简介
学院章程
历史沿革
学院标识
现任领导
学院荣誉
学院大事记
校园风光
交通方位
视频校园
部门机构
党委办公室
学院办公室
党委组织部
宣传统战部
成人教育部
人事处(教师工作处)
纪检监察室
规划财务处
学生工作处
教务处
国有资产管理处
招生就业处
科技处
审计处
教学质量评估办
现代信息技术中心
实验实训中心
护理系
基础医学部
公共基础部(马克思主义教学部)
团委
图书馆
工会
后勤处
保卫处
党建园地
品牌创建
教学科研
教学管理
专业设置
精品课程
科学研究
办学能力 迎评促建
招生就业
招生信息网
就业信息网
合作交流
校企合作
对外交流
东盟教育交流
信息公开
信息公开
信息公开制度
信息公开指南
信息公开申请
信息公开目录
招标采购
经费管理
质量年报
服务指南
办事指南
资料下载
心理健康
部门机构
党委办公室
部门介绍
团队成员
学院办公室
部门介绍
团队成员
信访专栏
党委组织部
部门介绍
团队成员
宣传统战部
部门介绍
团队成员
统战知识
共抗疫情
成人教育部
部门介绍
通知公告
团队成员
人事处(教师工作处)
部门介绍
团队成员
师德师风
纪检监察室
部门介绍
团队成员
规划财务处
部门介绍
规章制度
学生工作处
部门介绍
团队成员
管理制度
工作动态
助学服务
教务处
部门介绍
团队成员
国有资产管理处
部门介绍
团队成员
法律法规
工作动态
招生就业处
部门介绍
团队成员
科技处
部门介绍
团队成员
2023全国科普日活动
审计处
部门介绍
团队成员
教学质量评估办
部门介绍
制度文件
现代信息技术中心
部门介绍
团队成员
实验实训中心
部门介绍
团队成员
护理系
部门介绍
团队成员
基础医学部
部门介绍
团队成员
公共基础部(马克思主义教学部)
部门介绍
团队成员
思政教育
布依山歌十八调
团委
部门介绍
团委工作
团队成员
学生活动
规章制度
学生事务
图书馆
部门介绍
团队成员
工会
部门介绍
团队成员
后勤处
部门介绍
团队成员
保卫处
部门介绍
团队成员
助学服务
当前位置:
首 页
>
部门机构
>
学生工作处
>
助学服务
>正文
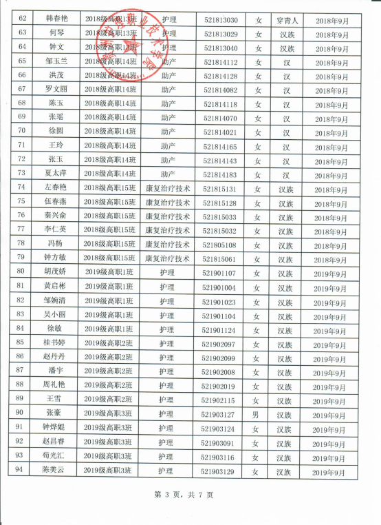
2019-2020学年国家励志奖学金推荐名单公示(院级)
来源:
发布时间:2020-10-27
作者: 浏览次数:
附件【
2019-2020学年国家励志奖学金推荐名单公示(院级).docx
】已下载
次
上一篇:
2020-2021学年度高职国家奖学金获奖学生名单
下一篇:
2019-2020国家奖学金院级公示
总访问量:
|
今日访问量: